1、熱分析簡介
熱分析的本質是溫度分析。熱分析技術是在程序溫度 (指等速升溫、等速降溫、恒溫或步級升溫等) 控制下測量物質的物理性質隨溫度變化,用于研究物質在某一特定溫度時所發生的熱學、力學、聲學、光學、電學、磁學等物理參數的變化,即 P = f(T)。按一定規律設計溫度變化,即程序控制溫度:T = (t),故其性質既是溫度的函數也是時間的函數:P = f (T, t)。
2、材料熱分析意義
在表征材料的熱性能、物理性能、機械性能以及穩定性等方面有著廣泛的應用,對于材料的研究開發和生產中的質量控制都具有很重要的實際意義。
3、常用熱分析方法解讀
根據國際熱分析協會 (ICTA) 的歸納和分類,目前的熱分析方法共分為九類十七種,常用的熱分析方法包括熱重分析法 (TG)、差示掃描量熱法 (DSC)、靜態熱機械分析法 (TMA)、動態熱機械分析 (DMTA)、動態介電分析 (DETA) 等,它們分別是測量物質重量、熱量、尺寸、模量和柔量、介電常數等參數對溫度的函數。

(1) 熱重分析 (TG)
熱重法 (TG) 是在程序溫度控制下測量試樣的質量隨溫度或時間變化的一種技術。

應用范圍:(1) 主要研究材料在惰性氣體中、空氣中、氧氣中的熱穩定性、熱分解作用和氧化降解等化學變化;(2) 研究涉及質量變化的所有物理過程,如測定水分、揮發物和殘渣、吸附、吸收和解吸、氣化速度和氣化熱、升華速度和升華熱、有填料的聚合物或共混物的組成等。
原理詳解:樣品重量分數 w 對溫度 T 或時間 t 作圖得熱重曲線 (TG曲線): w = f (T or t),因多為線性升溫,T 與 t 只差一個常數。TG 曲線對溫度或時間的一階導數 dw/dT 或 dw/dt 稱微分熱重曲線 (DTG曲線)。

圖2中,B 點 Ti 處的累積重量變化達到熱天平檢測下限,稱為反應起始溫度;C 點 Tf 處已檢測不出重量的變化,稱為反應終了溫度;Ti 或 Tf 亦可用外推法確定,分為 G 點 H 點;亦可取失重達到某一預定值 (5%、10%等)時的溫度作為 Ti。Tp 表示最大失重速率溫度,對應 DTG 曲線的峰頂溫度。峰的面積與試樣的重量變化成正比。

實戰應用:熱重法因其快速簡便,已經成為研究聚合物熱變化過程的重要手段。例如圖 3 中聚四氟乙烯與縮醛共聚物的共混物的 TG 曲線可以被用來分析共混物的組分,從圖 1 中可以發現:在 N2 中加熱,300~350 ℃ 縮醛組分分解 (約80%),聚四氟乙烯在 550 ℃ 開始分解 (約20%)。

影響因素:(a) 升溫速度:升溫速度越快,溫度滯后越大,Ti 及 Tf 越高,反應溫度區間也越寬。建議高分子試樣為 10 K/min,無機、金屬試樣為 10~20 K/min;(b) 樣品的粒度和用量:樣品的粒度不宜太大、裝填的緊密程度適中為好。同批試驗樣品,每一樣品的粒度和裝填緊密程度要一致;(c) 氣氛:常見的氣氛有空氣、O2、N2、He、H2、CO2 、Cl2 和水蒸氣等。氣氛不同反應機理的不同。氣氛與樣品發生反應,則 TG 曲線形狀受到影響;(d) 試樣皿材質以及形狀。
(2) 靜態熱機械分析 (TMA)
熱機械分析,是指在程序溫度下和非震動載荷作用下,測量物質的形變與溫度時間等函數關系的一種技術,主要測量物質的膨脹系數和相轉變溫度等參數。

應用范圍:靜態熱機械分析儀主要用于對無機材料、金屬材料、復合材料及高分子材料 (塑料、橡膠等) 的熱膨脹系數;玻璃化轉變溫度;熔點;軟化點;負荷熱變形溫度;蠕變等進行測試。
實戰應用:(a) 纖維、薄膜的研究:可測定其伸長、收縮性能和模量及相應的溫度,應力-應變分析、冷凍和加熱情況下應力的分析;(b) 復合材料的表征,除纖維用 TMA 研究外,復合材料的增強,樹脂的玻璃化轉變溫度 Tg、凝膠時間和流動性、熱膨脹系數等性質,還有多層復合材料尺寸的穩定性、高溫穩定性等都可以用 TMA 快速測定并研究;(c) 涂料的研究:可了解涂料與基體是否匹配及匹配的溫度范圍等;(d) 橡膠的研究:可了解橡膠在苛刻的使用環境中是否仍有彈性及尺寸是否穩定等
影響因素:(a) 升溫速率:升溫速率過快樣品溫度分布不均勻;(b) 樣品熱歷史;(c) 樣品缺陷:氣孔、填料分布不均、開裂等;(d) 探頭施加的壓力大小:一般推薦 0.001~0.1 N;(e) 樣品發生化學變化;(f) 外界振動;(g) 校準:探頭、溫度、壓力、爐子常數等校準;(h) 氣氛;(i) 樣品形狀,上下表面是否平行應用。
(3) 差示掃描量熱法 (DSC)

原理:差示掃描量熱法 (DSC) 是在程序控制溫度下,測量輸給物質和參比物的功率差與溫度關系的一種技術。差示掃描量熱法有補償式和熱流式兩種。試樣和參比物容器下裝有兩組補償加熱絲,當試樣在加熱過程中由于熱效應與參比物之間出現溫差 ΔT 時,通過差熱放大電路和差動熱量補償放大器,使流入補償電熱絲的電流發生變化,當試樣吸熱時,補償放大器使試樣一邊的電流立即增大;反之,當試樣放熱時則使參比物一邊的電流增大,直到兩邊熱量平衡,溫差 ΔT 消失為止。
在差示掃描量熱中,為使試樣和參比物的溫差保持為零在單位時間所必需施加的熱量與溫度的關系曲線為 DSC 曲線。曲線的縱軸為單位時間所加熱量,橫軸為溫度或時間。曲線的面積正比于熱焓的變化。圖 4 中展示了典型的 DSC 曲線。

應用范圍:(1) 材料的固化反應溫度和熱效應測定,如反應熱,反應速率等;(2) 物質的熱力學和動力學參數的測定,如比熱容,轉變熱等;(3) 材料的結晶、熔融溫度及其熱效應測定;(4) 樣品的純度等。
影響因素:(a) 升溫速率,實際測試的結果表明,升溫速率太高會引起試樣內部溫度分布不均勻,爐體和試樣也會產生熱不平衡狀態,所以升溫速率的影響很復雜;(b) 氣氛:不同氣體熱導性不同,會影響爐壁和試樣之間的熱阻,而影響出峰的溫度和熱焓值;(c) 試樣用量:不可過多,以免使其內部傳熱慢、溫度梯度大而使峰形擴大和分辨率下降;(d) 試樣粒度:粉末粒度不同時,由于傳熱和擴散的影響,會出現試驗結果的差別。
(4) 動態熱機械分析 (DMA)
動態熱機械分析測量粘彈性材料的力學性能與時間、溫度或頻率的關系。樣品受周期性(正弦)變化的機械應力的作用和控制,發生形變。

應用范圍:動態熱機械分析儀主要用于對無機材料、金屬材料、復合材料及高分子材料(塑料、橡膠等)的玻璃化轉變溫度、負荷熱變形溫度、蠕變、儲能模量(剛性)、損耗模量(阻尼性能)、應力松弛等進行測試。
DMA 基本原理:DMA 是通過分子運動的狀態來表征材料的特性,分子運動和物理狀態決定了動態模量(剛度)和阻尼(樣品在振動中的損耗的能量),對樣品施加一個可變振幅的正弦交變應力時,將產生一個預選振幅的正弦應變,對粘彈性樣品的應變會相應滯后一定的相位角 δ,如圖 5 所示。

DMA 技術把材料粘彈性分為兩個模量:一個儲存模量 E´,E´ 與試樣在每周期中貯存的最大彈性成正比,反映材料粘彈性中的彈性成分,表征材料的剛度;而損耗模量E",E"與試樣在每周期中以熱的形式消耗的能量成正比,反映材料粘彈性中的粘性部分,表示材料的阻尼。材料的阻尼也成為內耗,用 tanδ 表示,材料在每周期中損耗的能量與最大彈性貯能之比,等于材料的損耗模量 E" 與貯能模量 E´。DMA 采用升溫掃描,由輔助環境溫度升溫至熔融溫度,tanδ 展示出一系列的峰,每個峰都會對應一個特定的松弛過程。由 DMA 可測出相位角 tanδ、損耗模量 E" 與貯能模量 E´ 隨溫度、頻率或時間變化的曲線,不僅給出寬廣的溫度、頻率范圍的力學性能,還可以檢測材料的玻璃化轉變、低溫轉變和次級松弛過程。
例如損耗峰能夠代表某種單元運動的轉變,圖 6 為聚苯乙烯 tg 隨溫度變化的曲線,從圖中可以推斷峰可能為苯基繞主鏈的運動;峰可能是存在頭頭結構所致;峰是苯環繞與主鏈連接鍵的運動。

影響因素:升溫速率、樣品厚度、有無覆金屬層,夾具類型等。
(5) 動態介電分析 (DETA)
動態介電分析是物質在一定頻率的交變電場下并受一定受控溫度程序加熱時,測試物質的介電性能隨溫度變化的一種技術。
介電分析原理:具有偶極子的電介質,在外電場的作用下,將會隨外電場定向排列。偶極子的極化和溫度有關并伴隨著能量的消耗。一般以介電常數 (ε) 表示電介質在外電場下的極化程度,而介電損耗 (D) 則表示在外電場作用下,因極化發熱引起的能量損失。偶極子在外電場作用下的定向排列也會隨外電場的去除而恢復雜亂狀態。偶極子由有規排列回復到無規排列所需的時間稱“介電松弛時間 T”,按德拜理論:

其中:η 介質粘度,a 分子半徑,K 玻爾茲曼常數,T 溫度 K。
松弛時間和分子的大小、形狀以及介質的粘度有關。而

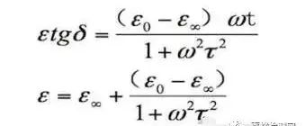
式中:tgδ 損耗角正切,ε0 靜電場下介電常數;ε∞ 光頻率下的介電常數。由此見,ε、tgδ 都是和松弛時間 τ 有關的物理量,因此也和分子的結構、大小、介質粘度有關,這就是利用介電性能研究物質分子結構的依據。由 (a) (b) 兩式可以證明,當

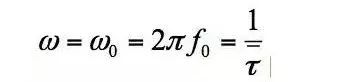
時,ε´ 有極大值,f0 稱“極化頻率”。

即當外電場頻率為極化頻率時,介電損耗極大。
應用范圍:這一技術已被廣泛地應用于研究材料電介質的分子結構、聚合程度和聚合物機理等。從應用對象講,有聚丙烯酸甲酯、聚氯乙烯、聚酰胺、聚酰亞胺、聚苯乙烯、酚醛、環氧、聚蠟等熱塑性和熱固性樹脂。此外還有耐高溫樹脂中的聚苯楓、聚苯并咪唑,生物化合物中的蛋白質等。其具體應用也包括增強塑料、模壓材料、涂料、粘合劑、橡膠甚至玻璃、陶瓷等金屬氧化物。在實驗室中,DETA 可作為粘彈性研究的有力工具,如動態機械性能和熱機械性能測試。在工業生產中,它可應用于樹脂制造、質量控制、預固化和固化程度控制等。
4、結語
由熱分析技術的概念入手分析,從五個方面:熱重分析法、差示掃描量熱法、靜態熱機械法、動態熱機械分析、動態介電分析,簡要論述了材料測試中幾種典型的熱分析方法。熱分析已有百年的發展歷程,隨著科學技術的發展,熱分析技術展現出新的生機和活力,不斷發展進步。
來源:嘉峪檢測網



